Ingat ini hanya soal latihan bukan bocoran soal usbn sd tahun 2020. Berikut ini daftar latihan soal usbn sd untuk tahun pelajaran 20182019 yang bisa diunduh dengan sandi.
Soal Usbn Bahasa Indonesia Sd Mi Tahun 2020 Dan Kunci
Bagi bapakibu bisa mendownload latihan.
Soal usbn sd bahasa indonesia 2019. Latihan soal usbn mata pelajaran bahasa indonesia sd mi tahun 2020 20192020. Semoga bermanfaat dalam membatu persiapan siswa sdmi dalam menghadapi usbn yang sebentar lagi akan dilaksanakan. Ujian sekolah berstandar nasional yang selanjutnya di.
Download soal usbn sd 2019 terdapat 4 mata pelajaran yang diujikan dalam usbn diantaranya bahasa indonesia matematika ipa dan pendidikan agama. Demikian informasi tentang latihan soal dan pembahasan usbn bahasa indonesia sd mi tahun 2020 tahun pelajaran 20192020. Untuk membantu para guru dan para siswa sd mi dalam mempersiapkan pelaksanaan un usbn dan us tahun 2020 atau tahun pelajaran 20192020 berikut ini disajikan latihan soal un usbn sd mi tahun 2020latihan soal un usbn dan us sdmi 20182019 ini terdiri atas mata pelajaran ipa matematika dan bahasa indonesia ppkn pkn ips agama penjas dan sbk.
Ujian sekolah berstandar nasional usbn tahun pelajaran 20182019 bagi siswa kelas 6 sd akan segera digelar. Usbn di tingkat sd dan sederajat ini hanya menguji tiga mata pelajaran yakni bahasa indonesia matematika dan ilmu pengetahuan alam ipakisi kisi soal usbn sd tahun 2019 sudah dirilis kemendikbud. Download soal ujian nasional un usbn 20182019 prediksi tryout sekolah dasar sd bahasa indonesia matematika ipa dilengkapi dengan 5 soal uraian.
Soal Try Out I Bahasa Indonesia Usbn Sd Dan Kunci Jawabannya
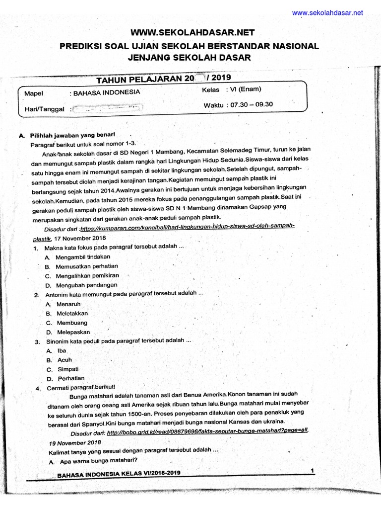
Prediksi Soal Usbn Sd Bahasa Indonesia Tahun 2019
Latihan Soal Dan Jawaban Usbn Bahasa Indonesia Sd 2019
Latihan Soal Usbn Bahasa Indonesia Sd Mi Tahun 2020 2019
Soal Try Out Ii Usbn Sd Bahasa Indonesia Dan Kunci Jawabannya
Soal Try Out Ii Usbn Sd Bahasa Indonesia 2018 2019 Dan Kunci
Kisi Kisi Usbn Sd Mi 2019 Irisan Kurikulum 2006 Dan
Soal Try Out I Usbn Sd Mi 2019 Dan Kunci Jawabannya Contoh
Prediksi Soal Usbn Sd Bahasa Indonesia Tahun 2019
Kisi Kisi Usbn Sd Mi 2019 Irisan Kurikulum 2006 Dan
Kisi Kisi Usbn Bahasa Indonesia Sd Mi Tahun 2019 Ayo Madrasah
Top Buku Soal Erlangga X Press Usbn Sd Mi 2019 Bahasa Indonesia
Download Soal Ujian Nasional Sd 2018 2019 Kunci Jawaban
Soal Latihan Un Dan Usbn Bahasa Indonesia Sma Tahun 2020
Jual Buku Soal Ujian Un Spm Plus Usbn Sd Mi 2019 Dari
Prediksi Soal Latihan Usbn Sd Mi 2019 Dan Kunci Jawaban
Soal Un Sd 2019 Bahasa Indonesia Dan Jawabannya Nurul Hidayah
Soal Try Out Ii Usbn Sd Mi 2019 Dan Kunci Jawabannya
Soal Bahasa Indonesia Contoh Soal
Buku Kumpulan Soal Usbn Bahasa Indonesia Sd 2019
Soal Latihan Usbn Bahasa Indonesia Sd Mi Tahun 2020 2019
Soal Un Usbn Sd 2019 2020 For Android Apk Download
Jual Buku Kumpulan Soal Dan Pembahasan Us Usbn Sd Siap Us
Download Pdf Soal Latihan Us Usbn Ipa Sd Mi Tahun 2019
Contoh Soal Try Out Tingkat Sd Tahun Pelajaran 2018 2019
Contoh Soal Usbn Bahasa Indonesia Kelas 6 Sd Tahun 2019 2020
Prediksi Soal Usbn Sd Tahun 2019 Mapel Bahasa Indonesia
Soal Usbn Sd 2019 Disertai Jawaban Dan Penjelasan Bang Wawa
Link Download Kisi Kisi Soal Un Usbn Smp Dan Sd 2019 Resmi
Prediksi Soal Bahasa Indonesia Usbn Sd Mi 2020 Part 1
Prediksi Soal Un Ujian Nasional Sd 2019 Beserta Kunci
Download Soal Un Sd Mi Tahun 2013 Bahasa Indonesia
Buku Top Master Kuasai Kisi Kisi Usbn Sd Mi 2019 Bukukita
Video Bahas Contoh Soal Usbn Sd Bahasa Indonesia 2019 Youtube
Soal Try Out I Usbn Sd Mi 2019 Dan Kunci Jawabannya
Soal Try Out Ii Usbn Sd Mi 2019 Dan Kunci Jawabannya
Soal Usbn Sd 2019 Dan Kunci Jawabannya Nurul Hidayah
Latihan Online Soal Uasbn Usbn Bahasa Indonesia Sd Mi
Download Lat Soal Hot Dan Pembahasan Bahasa Indonesia Usbn
Jadwal Dan Link Download Kisi Kisi Usbn Lengkap Dari Sd Smp
Jual Buku Trik Top Kuasai Un Usbn Sd Mi 2019 Laksana Kab Bantul Diva Press Group Tokopedia
Soal Latihan Usbn 2018 Bahasa Indonesia Sd Mi Berkas Edukasi
Download Soal Usbn Sd 2020 Apk Latest Version App By M2n
50 Contoh Soal Usbn Bahasa Indonesia Sd 2019 Disertai
Soal Un Usbn Sd 2018 2019 For Android Apk Download
Soal Prediksi Usbn Sd Mi 2019 2020 15 Paket Guru Berbagi
Shopee Indonesia Jual Beli Di Ponsel Dan Online
Kumpulan Soal Dan Kisi Kisi Un Sd Bahasa Indonesia Kaffah
Buku Saat Saat Jelang Ujian Sekolah Berstandar Nasional Sd Mi 2019
Soal Try Out Usbn Sd Tahun 2018 Dan Kunci Jawabannya
Siap Jawab Soal Usbn Un Sd Mi Apps On Google Play
Inilah Best Seller Buku Soal Januari 2019 Eureka Bookhouse
Buku Paket Latihan Soal Xpress Usbn 2019 Sd Mi Isi Tiga Buku
Dinas Pendidikan Jakarta Bagikan Soal Try Out Un Dan Usbn
Erlangga Express Usbn Sd Bahasa Indonesia 2019
Contoh Soal Usbn Soal Usbn Bahasa Indonesia Sd Qwerty
Lengkap 50 Contoh Soal Try Out Usbn Bahasa Indonesia Sd
Soal Ujian Nasional Sd Usbn Utama Bahasa Indonesia 2019
Kisi Kisi Soal Usbn Smp Sma Smk 2019 Lengkap K13 Ktsp
Contoh Soal Soal Un Bahasa Indonesia Kelas 6 Sd Dan Kunci
Jual Buku Ujian Champion Kisi Kisi Usbn Sd Mi 2019 Kota Magelang A L A M A D I Tokopedia
Super Modul Pelajaran Matematika Bahasa Indonesia Ipa Sd Mi Kelas 4 5 6
Jawaban Nomor 43 Dalam Detik Detik Soal Try Out 2 Usbn Sd
Jadwal Usbn Sd Smp Sma Dan Smk Tahun 2019 Tahun Ajaran 2018
Jual Master Kisi Kisi Usbn Sd Mi 2019 Plus Cd Transmedia
Soal Usbn Bahasa Indonesia Sd 2019 Icpns
Panduan Belajar Lengkap Usbn Dan Unbk Smp Zenius Blog
Soal Online Usbn Sd Bahasa Indonesia Guru Berbagi
Soal Usbn Sd 2019 Kunci Jawaban Pembahasan Soalku Net
Buku 99 Sukses Menghadapi Tim Pelita Mizanstore
Champion Kisi Kisi Usbn Sd 2019
Latihan Soal Dan Pembahasan Uasbn Bahasa Indonesia Sd Kelas 6
Sikat Usbn 2019 Sd Mi The Official Website Of Penerbit Duta
Jual Strategi Sukses Usbn Sd Mi 2019 Yudhistira Adi
Solusi Bedah Soal Dan Materi Komplet Usbn Sd Mi 2019 Cd
Soal Latihan Ujian Bahasa Indonesia Kelas 6 Tahun 2018
Soal Try Out I Bahasa Indonesia Usbn Sd Dan Kunci Jawabannya
Jual Buku Soal Ujian Un Paten Usbn Sd Mi 2019 Dari Penerbit
Panduan Belajar Dan Latihan Soal Usbn Dan Unbk Sma 2019
Soal Un Usbn Sd 2018 2019 For Android Apk Download
Soal Un Usbn Sd 2019 2020 2 0 Android Unduh Apk
Latihan Soal Dan Pembahasan Uasbn Bahasa Indonesia Sd Kelas 6
Spm Plus Usbn Sd Mi 2019 Kisi Kisi
Download Prediksi Soal Usbn Sd 2019 2020 Matematika Ipa
Prediksi Usbn Sd Mi 2019 Terbaru Android Apps Appagg
Petra Togamas Kisi Kisi Terbaru Usbn Sd Mi 2019
Soal Un Sd 2019 Usbn 2 1 Apk Androidappsapk Co
99 Sukses Menghadapi Usbn Sd Mi 2019
Jadwal Pengumuman Hasil Uasbn Tahun Pelajaran 2018 2019
Pos Belajar Soal Dan Kunci Jawaban Try Out Usbn Bahasa







